Block Diagram Using Latex 27++ Images Result
Block Diagram Using Latex. The tikz interpreter supports multiple tex output in backend. Each node has anchors which corresponds to points coordinates of the node border.
The tikz interpreter supports multiple tex output in backend. I would like to make a block diagram as shown in pic. I am trying to write a few properties of young diagrams using latex and am trying to make the symbolic notation as clear as possible but i encountered a few problems.
1979 arctic cat jag wiring diagram 94 honda civic dx radio wiring diagram chevy k5 blazer engine wiring diagram wiring diagram for hummer h2 stereo
Reference modem block diagram Download Scientific Diagram
Make block diagrams and flowcharts in free software latex. Drawing graphs and diagrams using pdflatex. It has a rectangular shape. So that different property of each node is attributed.

Source: javatpoint.com
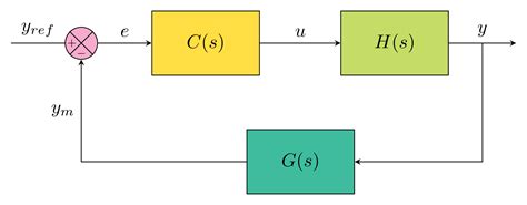
I would like to make a block diagram as shown in pic. Anchors of a node in tikz. Block diagrams like this are quite time consuming to create by hand. Let us consider the block diagram of a closed loop control system as shown in the following figure to identify these elements. Ask question asked 2 years, 5 months ago.

Source: tex.stackexchange.com
You should find something useful for you in the archives or in the documentations of the packages. If you have any questions feel free to inbox me, i will be happy to provide more details or discuss customised offers. Now before we start the document we need to define the basic components of a flowchart. (2) use node command to.

Source: latexdraw.com
It is used to show any kind of conditional operation that divides our flow path into two. Below are some commands used to create blocks: It represents an operation that changes system data. Postby localghost » tue jan 29, 2008 7:46 am. So that different property of each node is attributed.

Source: tex.stackexchange.com
To draw a block diagram, (1) first define a style definition for each repeated blocks, input/output, summations, or pins; Each node has anchors which corresponds to points coordinates of the node border. So that different property of each node is attributed. Basic elements of block diagram. We can always use simple mathematical programs like geogebra for 2d and 3d graphs.

Source: tex.stackexchange.com
You should find something useful for you in the archives or in the documentations of the packages. Anchors of a node in tikz. The latex graphs and figures are created using the figure environment, which is used as: Make block diagrams and flowcharts in free software latex. High quality figures and personal feedback.

Source: tex.stackexchange.com
The popular tikz environment is also used for latex macro packages. Basic elements of block diagram. A circle and 3 rectangles. High quality figures and personal feedback. It has a rhombus (diamond) shape.

Source: latexdraw.com
We can always use simple mathematical programs like geogebra for 2d and 3d graphs and drawing programs like google drawing for diagrams. \end {figure} similarly, blocks are also created using the figure environment. Attractive figures of block diagrams. If you have any questions feel free to inbox me, i will be happy to provide more details or discuss customised offers..

Source: latexdraw.com
After watching this video you should be able to prepare a template for block diagrams and flowchar. Drawing beautiful block diagrams in latex. It indicates the process of reading or writing. We can always use simple mathematical programs like geogebra for 2d and 3d graphs and drawing programs like google drawing for diagrams. However, the results are quite pleasing and.

Source: tex.stackexchange.com
It has a rhombus (diamond) shape. Viewed 186 times 1 how to make a simple block diagram using latex e.g. Drawing graphs and diagrams using pdflatex. (2) use node command to place each node, it is convenient to allocate each node based on relative position (above, below,. Drawing block diagrams in latex xu chen university of washington prerequisites:

Source: tex.stackexchange.com
In this post i have collected the options available for embedding vector graphics in latex when using pdflatex. Viewed 186 times 1 how to make a simple block diagram using latex e.g. Anchors of a node in tikz. Basic elements of block diagram. So that different property of each node is attributed.

Source: kenblog.virtualexport.co
In our example, we distinguish two types of shapes: It has a rectangular shape. Postby localghost » tue jan 29, 2008 7:46 am. The relative node placement feature makes it a bit easier, but it works best when the nodes have equal widths. Use them properly in each node definition mentioned below.

Source: latexdraw.com
Use them properly in each node definition mentioned below. Drawing graphs and diagrams using pdflatex. Basic elements of block diagram. Anchors of a node in tikz. The popular tikz environment is also used for latex macro packages.

Source: tex.stackexchange.com
I would like to study functions whose arguments are young diagrams, for example long vertical or horizontal strips. However, the results are quite pleasing and hopefully worth the effort. I would like to make a block diagram as shown in pic. Viewed 186 times 1 how to make a simple block diagram using latex e.g. High quality figures and personal.

Source: researchgate.net
You must have studied various block diagrams in different subjects for different purposes. \end {figure} similarly, blocks are also created using the figure environment. Now before we start the document we need to define the basic components of a flowchart. We can always use simple mathematical programs like geogebra for 2d and 3d graphs and drawing programs like google drawing.

Source: tex.stackexchange.com
Below are some commands used to create blocks: Let us consider the block diagram of a closed loop control system as shown in the following figure to identify these elements. Now before we start the document we need to define the basic components of a flowchart. Active 2 years, 5 months ago. We can always use simple mathematical programs like.

Source: latexdraw.com
So that different property of each node is attributed. Anchors of a node in tikz. However, the results are quite pleasing and hopefully worth the effort. It has a rhombus (diamond) shape. Let us consider the block diagram of a closed loop control system as shown in the following figure to identify these elements.

Source: drinkloading.ensoneregli.com
I used to put together the illustrations in my publications with a mixture of inkscape, coreldraw and psfrag, but obviously this couldn't continue for a long time without becoming an insult to graphic design. If you have any questions feel free to inbox me, i will be happy to provide more details or discuss customised offers. Use them properly in.
Source: quora.com
Drawing beautiful block diagrams in latex. The above block diagram consists of two blocks having transfer functions g(s) and h(s). I would like to make a block diagram as shown in pic. A circle and 3 rectangles. High quality figures and personal feedback.
Source: researchgate.net
Each node has anchors which corresponds to points coordinates of the node border. So that different property of each node is attributed. It is used to show any kind of conditional operation that divides our flow path into two. Make block diagrams and flowcharts in free software latex. The latex graphs and figures are created using the figure environment, which.

Source: tex.stackexchange.com
The popular tikz environment is also used for latex macro packages. Latex file with instructions to include your figure. You should find something useful for you in the archives or in the documentations of the packages. Active 2 years, 5 months ago. I would like to make a block diagram as shown in pic.